在肥胖与代谢疾病研究中,小鼠是解析病因和评估干预效果的核心模型,而精准、无创的体成分分析(脂肪量 FM、瘦组织量 LTM) 是关键技术支撑。传统方法却存在诸多局限:化学 carcass 分析虽为 “金标准”,但需处死动物,无法实现纵向监测;双能 X 线吸收法(DXA)需麻醉,可能引发体温下降、进食减少等副作用;计算机断层扫描(CT)和磁共振成像(MRI)操作复杂且耗时;总身体电导率(TOBEC)精度不足,难以捕捉微小体成分变化。
为解决这些痛点,美国阿拉巴马大学伯明翰分校团队在《International Journal of Body Composition Research》发表研究,首次系统验证了EchoMRI™ 3 合 1 QMR 仪器在活的、非麻醉小鼠上的体成分检测性能。结果显示,该技术不仅扫描快速(95 秒 / 只)、重复性优异,经校正后与化学法的相关性高达 r²=0.99,为小鼠代谢研究提供了高效、可靠的体成分分析方案。本研究中使用EchoMRI 3-in-1 设备,对小鼠身体成分的精准检测

一、研究设计:以“化学法” 为金标准,分两步验证 QMR 性能
为全面评估 QMR 的精准度(重复性)和准确度(与金标准的一致性),研究设计了 “验证研究” 和 “交叉验证研究” 两个阶段,覆盖不同品系、年龄和体重的小鼠,确保结果的普适性。
1. 实验动物与分组
验证组:48 只小鼠(24 雄 24 雌),体重 15.3-50.2g,年龄 3-18 个月,涵盖瘦、胖表型;最终 47 只纳入分析(1 只因 carcass 灰分丢失剔除)。
交叉验证组:26 只小鼠(13 雄 13 雌),体重 16.6-51.5g,年龄 3-15 个月,与验证组体重、年龄无统计学差异(P>0.05),用于验证校正公式的实用性。
2. 核心检测方法
(1)QMR 检测:活鼠、非麻醉、快速扫描
使用 EchoMRI™ QMR 仪器,小鼠禁食过夜(排空胃肠道内容物干扰),称重后放入专用管,限制在底部 75mm 区域(按仪器说明书),采用 “正常精度模式” 扫描。验证组每只扫描 3 次(每次取出管子重新插入,小鼠不离开管子,模拟实际操作重复性),交叉验证组每只扫描 1 次。
(2)化学 carcass 分析:金标准对照
小鼠经 CO₂窒息处死 + 颈椎脱臼后,开胸腹放入 70℃烘箱烘干至恒重(测总水分);烘干后的 carcass 用 mortar 研磨匀浆,通过索氏提取法(石油醚为溶剂)分离脂肪,测得脂肪量(FM);剩余的 “无脂干重” 放入 600℃马弗炉灼烧过夜(测灰分),最终按公式计算瘦组织量(LTM):LTM = carcass 总水分(湿重 - 干重)+(无脂干重 - 灰分)
(3)统计方法
精准度:用 3 次 QMR 检测的变异系数(CV%) 评估,CV 越小重复性越好;
准确度:用配对 t 检验对比首次 QMR 结果与化学法结果,线性回归构建 “QMR 值→化学法值” 的校正公式;
交叉验证:将校正公式应用于交叉验证组的 QMR 数据,对比校正后结果与化学法,通过线性回归判断截距(是否≈0)和斜率(是否≈1),计算纯误差(√[Σ(预测值 - 化学值)²/26])和均方根误差(RMSE) 评估公式可靠性。
二、核心结果:QMR 精准度优异,校正后与金标准高度一致
研究从“精准度” 和 “准确度” 双维度验证 QMR 性能,再通过交叉验证确认校正公式的实用性,结果层层递进。
1. 验证研究:QMR 精准度突出,虽有偏差但相关性极强
(1)精准度:LTM 重复性优于 FM,体重仅影响 FM 的 CV
脂肪量(FM):3 次扫描的 CV 范围 0.08%-4.38%,平均 1.58%±0.98%;且小鼠体重与 FM 的 CV 显著相关(P=0.02,图 1A)—— 体重越大,FM 的 CV 略高,可能因大体重小鼠脂肪分布更不均;

图1.QMR在小鼠三次重复测量中的精度(n=47)
瘦组织量(LTM):CV 范围 0.07%-2.08%,平均 0.78%±0.46%;体重与 LTM 的 CV 无关联(P=0.95,图 1B),说明 LTM 的检测重复性受个体大小影响更小。
这一精准度显著优于传统方法:例如 DXA 检测小鼠 FM 的 CV 约 2.2%、LTM 约 0.86%,而 QMR 的 FM CV 更低,LTM CV 相当;TOBEC 的 FM CV 常超过 5%,远不及 QMR。
(2)准确度:QMR 高估 FM、低估 LTM,但相关性近完美
与化学法对比,QMR 存在系统性偏差,但两者的线性关系极强:
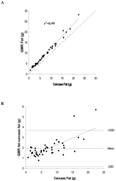
FM:QMR 测得 7.76±5.93g,化学法 6.03±5.17g,QMR 显著高估 28.7%(P<0.01);但 r²=0.99(P<0.0001,图 2A),残差分析显示 “FM 越大,高估越明显”(P<0.05,图 2B);

图2. (A)通过化学胴体分析法与QMR法测定的脂肪量关系(虚线为恒等线,实线为最佳拟合线)。(B)QMR法测得的脂肪量与胴体脂肪量差异的残差图显示,随着脂肪量增加,QMR法存在显著的高估倾向。
LTM:QMR 测得 20.73±6.19g,化学法 22.48±6.75g,QMR 显著低估 7.8%(P<0.01);r²=0.97(P<0.0001,图 3A),残差显示 “LTM 越大,低估越明显”(P<0.05,图 3B)。

图3.(A)通过化学胴体分析与QMR法测定的瘦肉量关系(虚线为恒等线,实线为最佳拟合线)。(B)QMR瘦肉量与胴体瘦肉量差异的残差图显示,随着瘦肉量增加,QMR法对瘦肉量的低估偏差显著。
基于强相关性,研究构建了校正公式,可将 QMR 值转化为与化学法一致的结果:
表 1:QMR 体成分结果

2. 交叉验证:校正后 QMR 结果与金标准无差异
将校正公式应用于 26 只独立小鼠,结果显示:
(1)脂肪量(FM):完全一致
校正后 QMR FM 为 6.37±6.07g,化学法 6.24±5.93g,两者无统计学差异(P=0.15);线性回归显示:截距无差异于 0(P=0.80),斜率无差异于 1(P=0.08,图 4A),残差无显著偏差(P=0.17,图 4B);纯误差 0.45g,RMSE 0.43g,说明校正公式能精准预测 FM。

图4.(A)通过化学胴体分析法测定的脂肪量与基于QMR值预测方程的脂肪量关系(n=26)(虚线为恒等线,实线为最佳拟合线)。(B)QMR预测值与化学数据差异的残差图。
(2)瘦组织量(LTM):整体一致,大 LTM 需注意
校正后 QMR LTM 为 21.80±4.31g,化学法 22.18±5.16g,无统计学差异(P=0.10);但线性回归显示截距显著偏离 0(P=0.007)、斜率显著偏离 1(P=0.002,图 5A),残差分析发现 “LTM 超过 23g(组均值)时,校正后 QMR 仍低估”(P<0.01,图 5B);纯误差 1.21g,RMSE 0.89g。

图5.(A)通过化学胴体分析法测定的瘦肉量与基于QMR值预测方程得出的瘦肉量之间的关系(n=26)(虚线为恒等线,实线为最佳拟合线)。(B)QMR预测值与化学测定值差异的残差图显示,随着瘦肉量增加,QMR值存在低估瘦肉量的显著偏差。
三、讨论:QMR 的优势、偏差原因与应用建议
1. QMR 为何优于传统方法?三大核心优势
(1)无麻醉、无损伤,适合纵向监测
QMR 无需麻醉,避免了麻醉引发的体温下降、进食抑制甚至死亡风险(尤其对老年或体弱小鼠),可对同一小鼠多次扫描,跟踪体成分的动态变化 —— 这对肥胖干预实验(如药物、饮食干预)至关重要,能减少个体差异带来的误差。
(2)快速高效,操作简便
单只小鼠扫描仅需 95 秒,远快于 DXA(约 6 分钟)、CT/MRI(数十分钟);无需专业人员操作,普通实验室人员经简单培训即可上手,适合大样本实验。
(3)精准度高,与金标准相关性强
FM 和 LTM 的 CV 分别低至 1.58% 和 0.78%,校正后与化学法的一致性接近 100%,远超 TOBEC(CV 常 > 5%),且无需像 CT/MRI 那样进行复杂的图像分析。
2. QMR 偏差的原因:技术原理与检测方法的差异
(1)高估 FM:溶剂提取的局限性
化学法用石油醚提取脂肪,仅能分离非极性脂质(如甘油三酯,占总脂质 83%),而 QMR 基于质子 NMR 原理,检测的是总脂质(包括极性脂质,如细胞膜磷脂,占 17%)—— 理论上 QMR 应高估 17%,但实际高估 28.7%,提示还可能存在仪器校准的微小偏差,需通过校正公式修正。
(2)低估 LTM:化学法 LTM 计算的 “隐性误差”
化学法中,索氏提取后残留的 17% 极性脂质被计入 “无脂干重”,导致无脂干重偏大,最终 LTM 计算值偏高 —— 相当于 QMR 的真实 LTM 被化学法 “高估”,从而显得 QMR 低估 LTM。
3. 应用建议:哪些场景优先用 QMR?注意什么?
(1)优先场景
需纵向监测体成分的实验(如肥胖模型的长期干预);
珍贵小鼠模型(如基因编辑小鼠),避免化学法致死;
大样本实验,需快速获取结果。
(2)注意事项
检测大瘦体重小鼠(如肌肉发达的运动模型)时,需警惕校正后 LTM 仍可能低估,建议结合其他指标(如肌肉重量)验证;
扫描前需禁食过夜,排空胃肠道内容物,避免食物残渣对结果的干扰;
不同品系小鼠的体成分差异可能影响校正公式的适用性,建议实验室根据自身常用品系重新验证(或使用本研究的通用公式初步校正)。
四、总结:QMR 成为小鼠体成分分析的优选工具
这项发表在《Int J Body Compos Res》的研究,首次系统验证了 EchoMRI QMR 仪器在活鼠体成分检测中的性能 —— 其无麻醉、快速、高精准的优势,解决了传统方法的核心痛点;通过简单的校正公式,即可实现与金标准(化学法)的高度一致。
对代谢研究者而言,QMR 不仅是 “检测工具”,更是推动研究效率提升的关键技术:它能精准捕捉小鼠体成分的细微变化,减少个体差异和实验误差,为肥胖、糖尿病等疾病的机制研究和干预评估提供可靠的数据支撑。未来,随着技术的迭代,QMR 或许还能进一步优化对骨密度、器官脂肪(如肝脏脂肪)的检测,为小鼠模型的体成分分析提供更全面的信息。
原文出处:
Jones, A.S., M.S. Johnson, and T.R. Nagy. 2009. “Validation of Quantitative Magnetic Resonance for the Determination of Body Composition of Mice.” International Journal of Body Composition Research 7 (2): 67–72.